Estimating Calendar Year Correlation in Loss Triangles

reserving
correlation
Empirical analysis of the calendar year correlation structure in loss reserving triangles using the CAS Loss Reserve Database.
Published

December 9, 2025

Loss reserving models often assume independence between cells in a loss triangle. In practice, common factors like inflation, legal changes, and economic conditions create correlations between cells, particularly those falling within the same calendar year diagonal. This post quantifies that correlation structure using 200 paid loss triangles from the CAS Loss Reserve Database.

The Block Autoregressive Correlation Structure

A natural correlation structure for loss triangles is the “block autoregressive” model, where:

  • Cells on the same calendar year diagonal have correlation \(\rho\)
  • Cells separated by \(k\) calendar years have correlation \(\rho^{k+1}\)

This structure captures the intuition that calendar year effects (inflation, judicial trends, economic conditions) create dependencies between cells processed in the same period, with correlation decaying geometrically as calendar years diverge.

The correlation matrix for a small triangle illustrates this structure:

Figure 1: Example correlation matrix for a 4-year triangle with ρ = 0.5. Cells are ordered by accident year and development period. The shaded diagonal represents cells on the same calendar year (CY 1991). Correlation decreases for more distant calendar years: ρ² = 0.25 for adjacent years, ρ³ = 0.125 for two years apart.

Data: The Meyers 200 Triangles

We use the 200 paid loss triangles from Glenn Meyers’ testing subset of the CAS Loss Reserve Database, accessed via the reservetestr package. These triangles span four major lines of business:

  • Commercial Auto (50 triangles)
  • Personal Auto (50 triangles)
  • Workers Compensation (50 triangles)
  • Other Liability (50 triangles)

Each triangle contains accident years 1988-1997 with development periods from 12 to 120 months, giving 55 observable cells per triangle.

Table 1: Summary of the Meyers 200 triangles by line of business.
Line of Business Triangles Accident Years Development Periods
0 Commercial Auto 50 1988-1997 12-120 months
1 Personal Auto 50 1988-1997 12-120 months
2 Workers Compensation 50 1988-1997 12-120 months
3 Other Liability 50 1988-1997 12-120 months

Methodology

To estimate the calendar year correlation structure, we:

  1. Extract incremental paid losses from each triangle and apply a log transformation
  2. Compute residuals by removing accident year and development period effects using a log-linear model: \(\log(\text{incremental}) \sim \text{AY} + \text{dev}\)
  3. Calculate Spearman rank correlations between all pairs of cells across the 200 triangles
  4. Group correlations by calendar year distance between cell pairs
  5. Estimate confidence intervals via bootstrap resampling of triangles

Using residuals removes the systematic effects of accident year (loss trend) and development period (payment pattern), isolating the calendar year effect. Spearman correlation is robust to outliers and non-normality in the loss data.

Results

Overall Correlation Structure

The following table shows the mean Spearman correlation between cell pairs, grouped by the calendar year distance between them. Distance 0 represents cells on the same calendar year diagonal; distance 1 represents adjacent calendar years, and so on.

Table 2: Spearman correlation by calendar year distance (all lines combined). Distance 0 represents cells on the same calendar year diagonal.
CY Distance Mean Correlation 95% CI SE Cell Pairs
0 0 0.093 [0.071, 0.114] 0.0108 126
1 1 0.077 [0.059, 0.094] 0.0087 273
2 2 0.034 [0.020, 0.046] 0.0067 238
3 3 -0.019 [-0.031, -0.006] 0.0065 191
4 4 -0.064 [-0.082, -0.046] 0.0093 147
5 5 -0.093 [-0.115, -0.071] 0.0111 107
6 6 -0.121 [-0.147, -0.095] 0.0133 72
7 7 -0.133 [-0.171, -0.092] 0.0202 43
8 8 -0.193 [-0.243, -0.140] 0.0258 21
9 9 -0.223 [-0.310, -0.131] 0.0454 7

The key finding is that cells on the same calendar year diagonal have a positive correlation of approximately 0.09 (95% CI: 0.07 to 0.11). This correlation:

  • Remains positive for adjacent calendar years (distance 1-2)
  • Crosses zero around distance 3
  • Becomes increasingly negative for more distant calendar years
Figure 2: Mean Spearman correlation by calendar year distance with 95% confidence intervals. The correlation is positive for cells on the same or adjacent calendar year diagonals, then becomes negative for more distant calendar years.

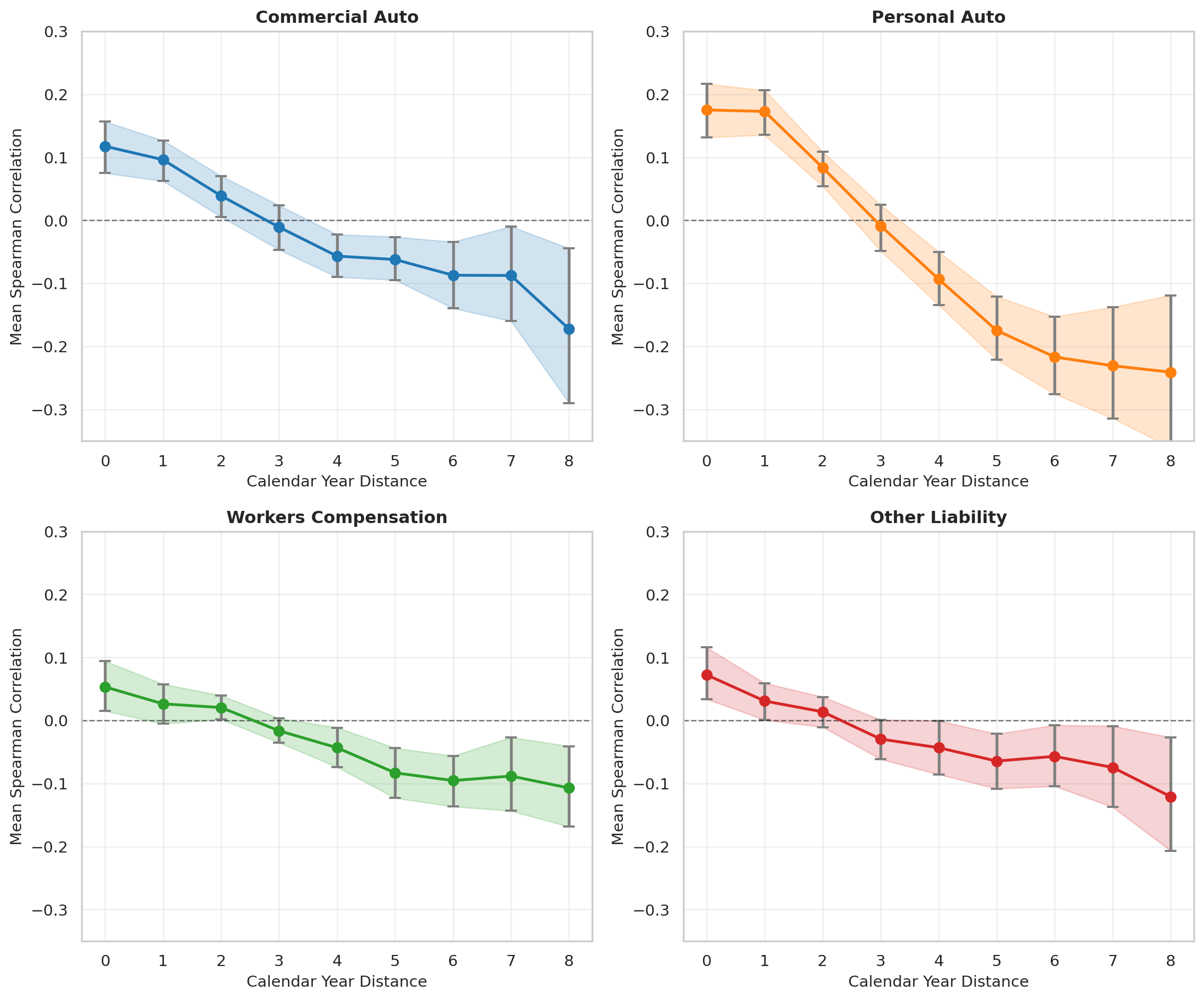
Correlation by Line of Business

The calendar year correlation varies substantially across lines of business:

Table 3: Estimated calendar year correlation (ρ) by line of business. Personal Auto shows the strongest correlation, while Workers Compensation shows the weakest.
Line of Business ρ (Same CY) 95% CI ρ (Adjacent CY) Triangles
0 Commercial Auto 0.118 [0.075, 0.157] 0.096 50
1 Personal Auto 0.175 [0.132, 0.216] 0.173 50
2 Workers Compensation 0.053 [0.015, 0.094] 0.026 50
3 Other Liability 0.072 [0.034, 0.116] 0.031 50
4 All Lines 0.093 [0.071, 0.114] 0.077 200
Figure 3: Calendar year correlation structure by line of business. Personal Auto shows the strongest calendar year effect, while Workers Compensation shows the weakest. All lines exhibit the same pattern of positive correlation for nearby calendar years transitioning to negative correlation for distant calendar years.

The variation across lines likely reflects differences in:

  • Claim duration: Personal Auto claims settle quickly, making calendar year effects more concentrated
  • Economic sensitivity: Auto lines may be more responsive to economic cycles
  • Regulatory environment: Workers Compensation is heavily regulated, potentially dampening calendar year variation

Comparison to Block AR Model

The simple block autoregressive model predicts that correlation should decay as \(\rho^{k+1}\) for cells \(k\) calendar years apart. Let’s compare the empirical pattern to this theoretical structure:

Figure 4: Comparison of empirical correlations (blue) to block AR model predictions (orange) using ρ estimated from same-diagonal correlation. The empirical decay is slower than the block AR model predicts, and the sign reversal at larger distances is not captured by the simple model.

The comparison reveals that:

  1. The block AR model captures the general decay pattern but predicts faster decay than observed
  2. Correlation at distance 1 is higher than predicted, suggesting adjacent calendar years are more similar than the simple model assumes
  3. The sign reversal at larger distances is not captured by the block AR model, which predicts positive (though small) correlations at all distances

This suggests that a more flexible correlation structure may be needed to fully capture the empirical pattern, perhaps incorporating mean-reversion effects that create negative correlations between distant calendar years.

Implications for Reserve Estimation

These findings have practical implications for stochastic loss reserving:

  1. Ignoring calendar year correlation understates reserve uncertainty. The positive correlation between cells on the same diagonal means that unfavorable calendar year effects (higher inflation, adverse legal developments) will simultaneously affect multiple cells, creating correlated reserve errors.

  2. The magnitude of correlation varies by line. Personal Auto reserves may require stronger correlation assumptions (\(\rho \approx 0.17\)) than Workers Compensation (\(\rho \approx 0.05\)).

  3. Simple block AR structures may oversimplify. The empirical evidence suggests correlation decays more slowly than \(\rho^{k+1}\) for nearby calendar years, and the sign reversal at larger distances indicates mean-reversion effects not captured by the simple model.

  4. Reasonable parameter ranges for simulation. When simulating correlated loss triangles, a same-diagonal correlation of \(\rho \in [0.05, 0.20]\) appears reasonable based on this analysis, with the specific value depending on line of business.

Technical Notes

  • Standardization: We use residuals from a simple log-linear model rather than raw values to remove systematic accident year and development period effects that would otherwise dominate the correlation structure.

  • Spearman correlation: We use rank correlation to be robust to outliers and non-normality in the loss distributions. Pearson correlations yield similar but slightly noisier results.

  • Bootstrap inference: Confidence intervals are computed by resampling triangles (not cells) to preserve the within-triangle correlation structure.

  • Negative correlations at large distances: This pattern suggests mean-reversion in calendar year effects—a year with unusually high losses tends to be followed (eventually) by years with lower losses. This could reflect mean-reverting inflation or correction of reserve estimates.

The code for this analysis uses the reservetestr package for data access and standard Python libraries (pandas, scipy, matplotlib) for analysis and visualization.